05-december-2025 – Na twee intensieve weken veldwerk in Khelcom kunnen we terugkijken op een bijzonder, succesvolle start van ons nieuwe DALI-project in Senegal. We hebben al onze doelen gehaald: zes grauwe kiekendieven zijn uitgerust met GPS-zenders, bijna 200 sprinkhaantransecten zijn geteld, en de twee masterstudenten van de universiteit in Saint-Louis zijn ingewerkt in slaapplaatstellingen en sprinkhaantransecten, zodat zij vanaf december zelfstandig verder kunnen.
De samenwerking in het veld was geweldig. Ondanks de hitte, lange dagen en het intensieve werk bleef de sfeer uitstekend. De studenten hadden nog nooit veldonderzoek gedaan, maar ze hebben de nieuwe methoden ongelooflijk snel opgepakt, werkten keihard en bleven altijd gemotiveerd. Ik ben ontzettend trots op hoe zij zich in korte tijd ontwikkeld hebben. In december zetten zij samen met Albert het onderzoek voort.
De eerste resultaten
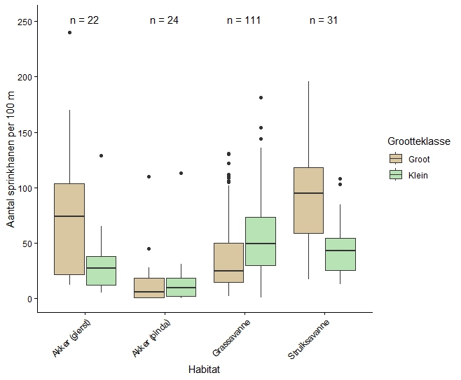
Voor het eerst hebben we al in november sprinkhaantellingen uitgevoerd, direct na de regentijd wanneer het gebied nog groen is. Dat sprinkhanen van groene vegetatie houden, zien we duidelijk terug in de eerste voorlopige resultaten: de hoogste aantallen werden aangetroffen in de struiksavanne, gevolgd door gierstakkers en grassavanne. Grote sprinkhanensoorten kwamen vooral voor in struiksavanne en gierstvelden, terwijl kleine soorten talrijker waren in grassavanne (Figuur 1). In de bijna kale pinda-akkers werden nauwelijks sprinkhanen gezien. Met de maandelijkse herhalingen willen we de aantalsontwikkeling zien richting het veel drogere einde van het winterseizoen.
Ook de gezenderde vogels leveren nu al waardevolle informatie op (Figuur 2). De zenders maken veel beter dan verwacht contact met het lokale GSM-netwerk, waardoor we bijna dagelijks nieuwe gegevens binnenkrijgen. We hadden er rekening mee gehouden dat dit in het slechtste geval pas zou gebeuren nadat de vogels het gebied hadden verlaten, of pas tijdens de voorjaarstrek. Dankzij de regelmatige updates kunnen we de komende tijd actuele posities gebruiken om nieuwe slaapplaatsen op te sporen. Drie van de zes vogels hebben Khelcom inmiddels verlaten, wat niet verrassend is zo vroeg in het seizoen: grauwe kiekendieven bezoeken vaak meerdere gebieden tijdens hun overwintering. Daarom willen we in januari opnieuw enkele nieuwe individuen zenderen, die waarschijnlijk het hele droge seizoen in het studiegebied blijven. Alle vogels zijn binnenkort live te volgen via onze website.
Crowdfunding vervolg GPS-onderzoek grauwe kiekendieven in Senegal
In januari vindt de volgende gezamenlijke missie plaats. We hopen dan nieuwe zenders te kunnen inzetten en starten daarom een crowdfundingsactie:
• Steun het onderzoek naar het overwinteringsgedrag van grauwe kiekendieven hier!
Iedere bijdrage helpt ons om dit onderzoek voort te zetten en meer vogels door het seizoen heen te kunnen volgen. Lees meer informatie via de bovenstaande link.
Dit project is mede mogelijk gemaakt dankzij een eenmalige bijdrage van Vogelbescherming Nederland, die binnen DALI specifiek de capaciteitsopbouw ondersteunt – zoals de samenwerking met onze Senegalese partners. De gebruikte GPS-zenders van de afgelopen veldmissie vallen buiten deze ondersteuning en zijn volledig gefinancierd dankzij donaties aan Grauwe Kiekendief – Kenniscentrum Akkervogels. Een GPS-zender kost €1.250; voor drie nieuwe zenders is daarom €3.750 nodig. Voor de aanschaf van deze zenders zijn we opnieuw afhankelijk van particuliere bijdragen.
Lees alle reisblogs van de novemberexpeditie naar Senegal (2025):
10-nov-2025 | Onderzoek naar de winterecologie van grauwe kiekendieven in Senegal
12-nov-2025 | De eerste grauwe kiekendief in Senegal gezenderd!
14-nov-2025 | Van bos via sprinkhaan naar kiekendief
25-nov-2025 | Grauwe kiekendieven en agrarische activiteiten in Senegal
03-dec-2025 | Van bestuderen tot bewustwording en beschermen: grauwe kiekendieven in Khelcom
Tekst: Almut Schlaich
Titelfoto: Zenderen grauwe kiekendief mannetje Falilou (Foto: Wim Mullié)









